製品・サービス
不斉相間移動反応によるCα-メチルアミノ酸
概要
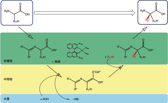
例えば丸岡触媒を用いるような相間移動反応によるアルキル化は、1ないしは2置換アミノ酸の合成を可能にします。一般的にはこれらのビルディングブロックを導入することで、ペプチドの化学的安定性や代謝安定性が向上し、隣接する側鎖のコンフォメーション自由度が制限されます。

図1. 不斉相間移動触媒を用いる場合の合成経路

図2. α-メチルアミノ酸の例
表1. α-メチルアミノ酸製品表
| コード | 製品名 | 分子式 | CAS | 分子量 | 内容量 | 名称 |
| FAA3045.0001 | Fmoc-α-Me-L-Leu-OH | C22H25NO4 | 312624-65-0 | 367.44 | 1g | (S)-N-alpha-(9-Fluorenylmethyloxycarbonyl)-C-alpha-methyl-leucine |
| FAA3045.0005 | Fmoc-α-Me-L-Leu-OH | C22H25NO4 | 312624-65-0 | 367.44 | 5g | (S)-N-alpha-(9-Fluorenylmethyloxycarbonyl)-C-alpha-methyl-leucine |
| FAA3085.0000 | Fmoc-α-Me-L-Asp(tBu)-OH | C24H27NO6 | 1072845-47-6 | 425.47 | お問い合わせください | N-alpha-(9-Fluorenylmethyloxycarbonyl)-C-alpha-methyl-L-aspartic acid beta-t-butyl ester |
| FAA4840.0000 | Fmoc-α-Me-L-Cys(Trt)-OH | C38H33NO4S | 725728-43-8 | 599.74 | お問い合わせください | N-alpha-(9-Fluorenylmethyloxycarbonyl)-alpha-methyl-S-trityl-L-cysteine |
| FAA4900.0000 | Fmoc-α-Me-L-Ser(tBu)-OH | C23H27NO5 | 914399-98-7 | 397.46 | お問い合わせください | N-alpha-(9-Fluorenylmethyloxycarbonyl)-C-alpha-methyl-O-t-butyl-L-serine |
| HAA5350.0001 | H-α-Me-D-Phe(4-Br)-OH | C10H12BrNO2 | 752971-41-8 | 258.11 | 1g | (R)-alpha-Methyl-4-bromophenylalanine (>98%, >94%ee) |
このプロセスは、グラムスケールの合成では高価ですが、kgおよびバルクスケールでの適切なビルディングブロックのデザインと経済的生産の新しい道を切り開きます。
従来のアミノ酸を、グリシンまたはアラニンのアルキル化によって金属を全く使用せずに立体選択的に合成することが可能です。したがってこの手法は、安全で環境に優しい技術といえます。
開発プロジェクトについて
特定の分子の合成経路、収量および純度を正確に予測することは非常に難しい課題ですが、Iris Biotech社では適切な生産ルートを見つけるために、標的化合物に到達するための手法を練り、研究と複数の予備実験を実施し、堅牢なプロセスに発展させるサービスをご提供しております。
一般的な課題としては下記のようなものが挙げられます
- 次代においても通用する、持続可能な製造の基礎としてのラボスケールde novo合成ルート開発
- 効率的な技術を選択しプロセスの効率を向上させるための、既存の合成ルートの最適化又は再設計
- 目的の分子を得るためのパテントフリーな技術の検索
これより複雑な課題には、受託開発契約として実施されます。
この契約には下記のような開発プロセスを含みます。
- バイオコンジュゲーション
- 分析またはマテリアル開発における特定のアプリケーションに適切な分子またはポリマーの探索
この一連の研究開発は、通常ラボスケールからバルクまでの化合物の製造を含め、持続可能でスケーラブルな合成経路の開発につながります。
コスト計算に関しましては、FTE(Full Time Equivalent)ベースおよびマイルストーンに基づくFee for serviceとなります。
お客様のニーズにあった化合物をご用意し、プロジェクトを円滑に進めるお手伝いをさせていただきます。Iris Biotech社のサービスをぜひご活用ください。
お客様の合成手法に倣ったサンプルの受託合成
緊急に入手する必要のある化合物があるにも関わらず、物理的なスペースや人的資源の不足といった問題を抱えるお客様の代わりに、Iris Biotech社の経験豊富なスタッフがサンプルを合成いたします。
Iris Biotech社は、お客様の合成プロセスを豊富な専門知識で忠実に再現、実行いたします。
プロセスに関するすべての事項は、厳密に機密保持契約によって守られます。
プロジェクトが終了した際には、Iris Biotech社の専門スタッフによって包括的に文書化された手順をお渡しいたしますので、簡便にプロセスを追跡し、再現性を保つことが可能となっています。
